Jiwon Lee, M.D.
Department of Laboratory Medicine
Principle and Clinical Utility
The Eosinophil-Derived Neurotoxin (EDN) test is performed on patients suspected of having asthma, and it quantitatively measures neurotoxin derived from eosinophils using enzyme-linked immunosorbent assay (ELISA) to assist in the diagnosis of asthma. The EDN test quantitatively measures the concentration of EDN in a patient’s serum sample and can be used as an auxiliary diagnostic tool for asthma, particularly in children who have difficulty performing pulmonary function tests. In addition, the potential for use as a predictive marker of response to biologic therapy or as an indicator for treatment monitoring has also been reported in studies.
Eosinophils are a type of white blood cell involved in various inflammatory diseases. Asthma is a representative eosinophil-related disease characterized by airway inflammation and hyperresponsiveness. Eosinophils that migrate to inflammatory sites secrete various granule proteins, one of which is EDN. Several studies have reported elevated serum EDN levels in both pediatric and adult asthma patients, and these findings suggest that EDN levels are associated with disease activity or severity.

Ref) Cells 2023, 12(9), 1326
Fig. 1. The role of EDN in asthma pathogenesis.
Asthma shows a variety of clinical phenotypes, and accordingly, the risk of exacerbation, treatment response, and prognosis differ. Therefore, to manage asthma effectively, biomarkers that can reflect disease severity and control status are needed. In many studies so far, blood eosinophil count and total IgE have been used as key indicators reflecting the inflammatory status of asthma. However, these indicators have limitations in accurately reflecting the activation state of eosinophils or the degree of airway inflammation.
EDN, as an activation product released during eosinophil degranulation, has the advantage of directly reflecting the activity of inflammatory diseases. EDN does not show circadian variability, allowing flexible blood collection time, and is being evaluated as a non-invasive and practical biomarker for asthma using serum.
EDN is also involved not only in antiviral activity but also in tissue damage and inflammation induction. In animal model studies, EDN was found to contribute to airway epithelial cell injury, mucus hypersecretion, and airway hyperresponsiveness. Therefore, EDN can be considered a biomarker that indirectly indicates eosinophil activation and its pathological role, rather than simply reflecting eosinophil count.
Research Studies
The following are representative domestic studies comparing EDN test results among adult and pediatric asthma or allergic disease patient groups and control groups.
In this study, serum EDN tests were conducted in adult patients aged 18 years or older diagnosed with asthma according to ATS guidelines and in healthy adults. A total of 147 adult asthma patients and 20 healthy controls were included. Among the asthma patients, 58 (39.5%) were classified as moderate asthma and 33 (22.4%) as severe asthma. Total IgE and blood eosinophil counts were significantly higher in asthma patients than in the control group.
Serum EDN concentration was also significantly higher in asthma patients (83.3 ± 50.4 ng/mL) compared with healthy controls (37.4 ± 13.1 ng/mL, P < 0.001), and the EDN concentration tended to increase significantly with increasing asthma severity (mild: 69.7 ± 38.4 ng/mL; moderate: 80.2 ± 40.7 ng/mL; severe: 117.6 ± 70.9 ng/mL, P < 0.001). Serum EDN levels showed significant positive correlations with blood eosinophil count (r = 0.542, P < 0.001) and total IgE (r = 0.311, P = 0.001).
Serum EDN levels also showed negative correlations with pulmonary function indices. Higher EDN levels were associated with lower FEV₁ (% predicted) (r = −0.308, P = 0.001) and FEV₁/FVC (r = −0.281, P = 0.002), suggesting that higher EDN levels indicate more severe airway obstruction. There were also differences according to asthma control status: the mean EDN concentration was 74.4 ± 43.1 ng/mL in controlled asthma and 93.7 ± 57.6 ng/mL in uncontrolled asthma (P = 0.038).

Ref) Allergy Asthma Immunol Res. 2019 May;11(3):394-405.
Fig. 2. Comparison of serum EDN levels among severe asthmatic, nonsevere asthmatic, and normal control groups.
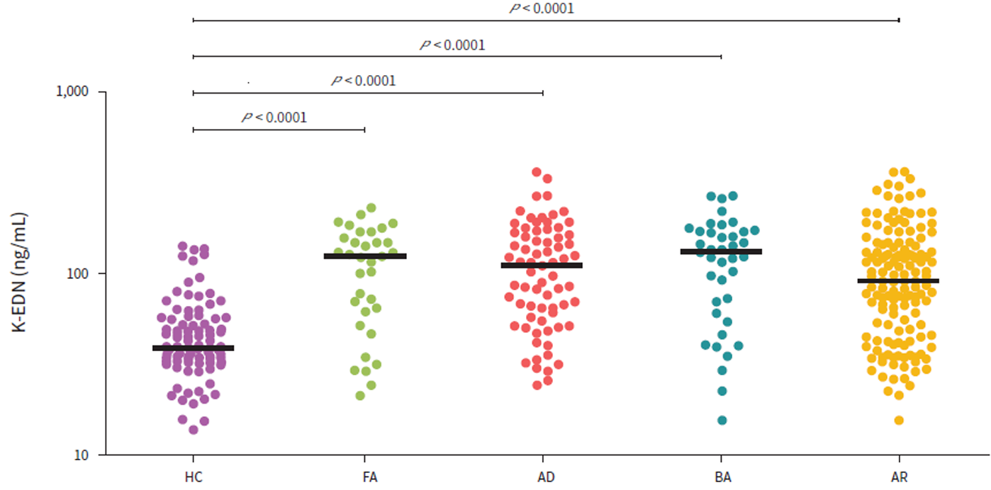
In this study, serum EDN levels were compared and evaluated in a total of 396 elementary school children with various allergic diseases. Subgroups of allergic diseases included food allergy (FA), atopic dermatitis (AD), bronchial asthma (BA), and allergic rhinitis (AR). The analysis showed that serum EDN levels were statistically significantly elevated in all allergic disease groups. Median [interquartile range] values were as follows.
FA: 74.2 ng/mL [49.1–94.7], AD: 88.0 ng/mL [64.2–118.4], BA: 100.7 ng/mL [77.0–134.2], AR: 81.6 ng/mL [62.1–101.3], Controls: 47.4 ng/mL [33.2–61.0]. EDN elevation was observed across all ages, without being biased toward a particular age group, and it showed a positive correlation with total IgE levels.

Ref) Asia Pac Allergy. 2022 Jul 13;12(3):e25.
Fig. 3. Serum EDN levels in each subgroup.
Healthy controls (HC) showed significantly lower EDN levels than all allergic disease subgroups (P < 0.0001).
(FA: food allergy; AD: atopic dermatitis; BA: bronchial asthma; AR: allergic rhinitis)
When all allergic disease patients were analyzed together, EDN showed excellent performance in predicting and distinguishing allergic diseases. Therefore, EDN, as a reliable biomarker reflecting eosinophil activation, can be effectively used for screening and differential diagnosis of major allergic diseases such as food allergy, atopic dermatitis, bronchial asthma, and allergic rhinitis.
Notes for Interpretation of Test Results
EDN levels may be nonspecifically increased in various eosinophil-related diseases, including parasitic infections, hypereosinophilic syndrome, and certain autoimmune inflammatory diseases. Therefore, it has limitations as a single diagnostic marker for specific diseases and should be interpreted in conjunction with clinical symptoms, medical history, and other test results.
References
01. Kim CK. Eosinophil-derived neurotoxin reference values in asthma: The way forward. Clin Exp Allergy. 2023 Nov;53(11):1141-1143.
02. Lee Y, Lee JH, Yang EM, Kwon E, Jung CG, Kim SC et al. Serum Levels of Eosinophil-Derived Neurotoxin: A Biomarker for Asthma Severity in Adult Asthmatics. Allergy Asthma Immunol Res. 2019 May;11(3):394-405.
03. Kim CK, Kang DY, Callaway Z, Kim KS, Kwon EM, Yamaide F et al. Increase in eosinophil-derived neurotoxin level in school children with allergic disease. Asia Pac Allergy. 2022 Jul 13;12(3):e25.
Test Information
GC Labs code | Test item |
Q620 |